SIXTH MOORINGS CONDOMINIUM ASSOCIATION

18555 NE 14th Ave, Miami, FL 33179

 DISCOVER THE TRANQUILITY OF OUR VIBRANT 55+ COMMUNITY LOCATED IN UNINCORPORATED MIAMI DADE-COUNTY.

COMMUNITY WEBSITE FOR RESIDENTS OF SIXTH MOORINGS CONDOMINIUM ASSOCIATION

Sixth Moorings Condo Association

Discover the exceptional amenities and facilities that make Sixth Moorings the perfect 55+ community for your retirement lifestyle

Visual Highlights

Take a glimpse at the beauty and elegance of Sixth Moorings

Sixth Moorings exterior view showcasing the beautiful architecture and landscaping
Beautiful pool area at Sixth Moorings with pristine swimming facilities
Another stunning view of Sixth Moorings condominium complex

Governing Documents

Access important association documents, bylaws, and regulations that govern our community

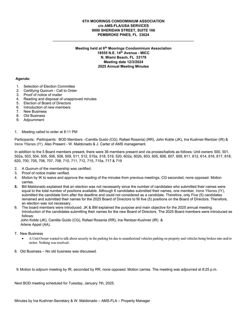
BOD Meeting Minutes

Official notices of upcoming board meetings and detailed meeting agendas for residents

Property Managers Report

Monthly property management reports and updates

BOD Meeting Notice Agenda

Complete financial documentation including budgets, year-end reports, and monthly income & expense statements

Budget Annual Organization Meeting Minutes

Official records of board meetings and approved decisions made by the association

Board Directors Certifications

The certification of each director required by art. 718.112(2)(d)4.b

Contracts & Transactions Disclosure

Contracts or transactions between the association and any director, officer, corporation, firm, or association that is not an affiliated condominium association or any other entity in which a director of the association is also a director or officer and has financial interests.

Insurance Certificate

Current insurance certificates and coverage information for the association

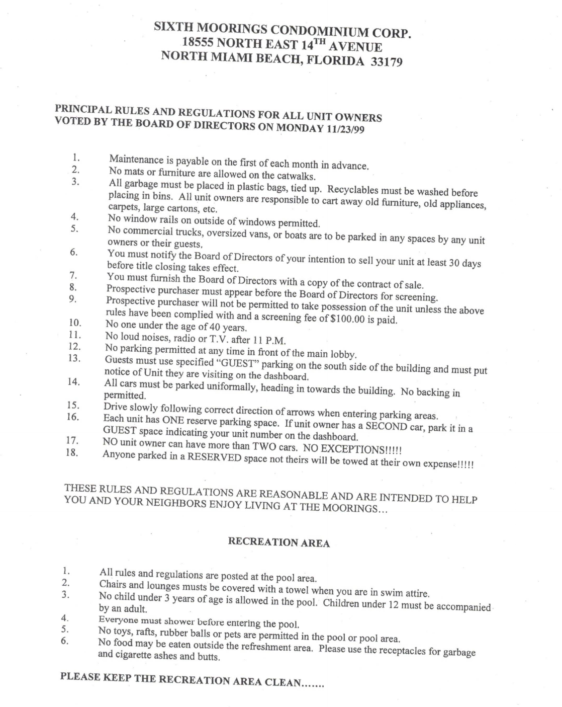
Building Regulations and Notifications

Registered declaration of the condominium

Official condominium declaration and registration documents.

View Declaration Document

Building Yearly Regulations

Rules and Notifications

The association's registered statutes and each amendment to the statutes

Official association statutes and all registered amendments.

View Statutes & Amendments
Connect with Us
Property Management Company for Sixth Moorings Condominium Association:
Management Company Logo
AAMC Logo